Ukuran Gejala Pusat Data Belum di Kelompokkan
A. Rata-rata Hitung (Mean)
Adalah nilai yang mewakili sekelompok data.
Adalah akar pangkat N dari kali hasil masing - masing nilai dari kelmpok tersebut.
C. Rata - Rata Harmonis
Adalah kebalikan rata - rata hitung dari kebalikan nilai-nilai data.
Median adalah sebuah nilai data yan berada ditengah-tengah dari rangkaian data yang tersusun secara teratur.
* MEDIAN GANJIL
C. Nilai yang sering muncul ( MODUS )
Modus adalah data yang paling sering muncul dalam kumpulan data atau data yang mempunyai frekuensi terbesar.
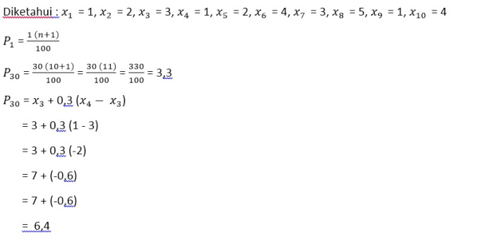
D. FRAKTIL ( kuartil , desil , persentil )
* Kuartil
Pengertian kuartil sama dengan median. Perbedaanya hanya terletak pada banyaknya pembagian kelompok data. Median membagi kelompok data atas 2 bagian, sedangkan kuartil membagi kelompok data atas 4 bagian yang sama besar, sehingga akan terdapat 3 kuartil yaitu kuartil ke-1, kuartil ke-2 dan kuartil ke-3, dimana kuartil ke-2 sama dengan median.
Pengertian kuartil sama dengan median. Perbedaanya hanya terletak pada banyaknya pembagian kelompok data. Median membagi kelompok data atas 2 bagian, sedangkan kuartil membagi kelompok data atas 4 bagian yang sama besar, sehingga akan terdapat 3 kuartil yaitu kuartil ke-1, kuartil ke-2 dan kuartil ke-3, dimana kuartil ke-2 sama dengan median.
* Desil
adalah suatu
rangkaian data yang membagi suatu distribusi menjadi 10 bagian yang sama besar.
1. klik data > Data analysis
2. klik descriptive statics > Ok
3. pilih yang seperti sudah diberi tanda dikotak , dan centang SUMMARY terlebih dulu kita membuat data terlebih dulu agar muncul seperti contoh
* Buat dahulu data seperti dibawah lalu blok semua dan pilih seperti yang ditandai dikotak merah itu
5.
Lalu
munculah tampilannya seperti ini








Tidak ada komentar:
Posting Komentar